Cumhurbaşkanı imzaladı! Konya’daki bu alanlar acele kamulaşıyor
Konya’da hayata geçirilecek enerji iletim hattı projeleri kapsamında proje güzergahındaki bazı taşınmazların acele kamulaştırılmasına karar verildi. Karar, Cumhurbaşkanı imzasıyla Resmi Gazete’de yayımlandı.
Konya’da enerji altyapısını güçlendirmeye yönelik projeler kapsamında acele kamulaştırma kararı alındı. Konuya ilişkin Cumhurbaşkanı kararları, Resmi Gazete’nin bugünkü sayısında yayımlanarak yürürlüğe girdi.
KARAPINAR GES HATTI KONYA’YI KAPSIYOR
Karara göre, Konya’da hayata geçirilecek “400 kV G24-Karapınar GES Trafo Merkezi – Konya Kuzey Trafo Merkezi Enerji İletim Hattı Projesi” kapsamında proje güzergâhında bulunan bazı taşınmazlar kamulaştırılacak.
DİREK YERLERİ MÜLKİYET, İLETKENLER İÇİN İRTİFAK HAKKI
Projeler kapsamında; enerji iletim hattı direk yerleri, mülkiyet şeklinde, iletken salınım gabarisine giren alanlar ise irtifak hakkı kurulmak suretiyle
Türkiye Elektrik İletim AŞ Genel Müdürlüğü (TEİAŞ) tarafından acele kamulaştırılacak.
KARAMAN’DAKİ PROJE DE KAPSAMA ALINDI
Aynı karar kapsamında Karaman’da yürütülecek “400 kV G24 Karaman GES TM – Selvili TM Enerji İletim Hattı Projesi” için de benzer şekilde bazı taşınmazların acele kamulaştırılmasına hükmedildi.
Söz konusu kamulaştırmaların, enerji projelerinin hızlı şekilde tamamlanması ve bölgenin elektrik iletim altyapısının güçlendirilmesi amacıyla gerçekleştirileceği belirtildi.
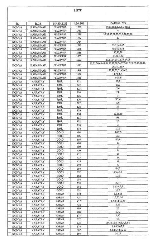
İşte Resmi Gazete'deki o karar ve detaylı liste:
Kaynak:Haber Merkezi


Türkçe karakter kullanılmayan ve büyük harflerle yazılmış yorumlar onaylanmamaktadır.