Konya’daki bu alanlar Cumhurbaşkanı Erdoğan’ın imzasıyla kamulaştırıldı
|
Son Güncelleme: 13.04.2023 04:51
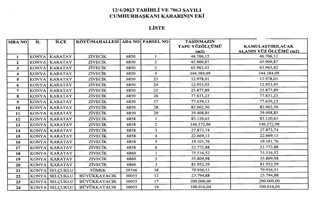
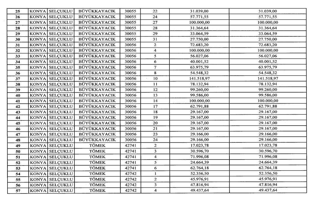
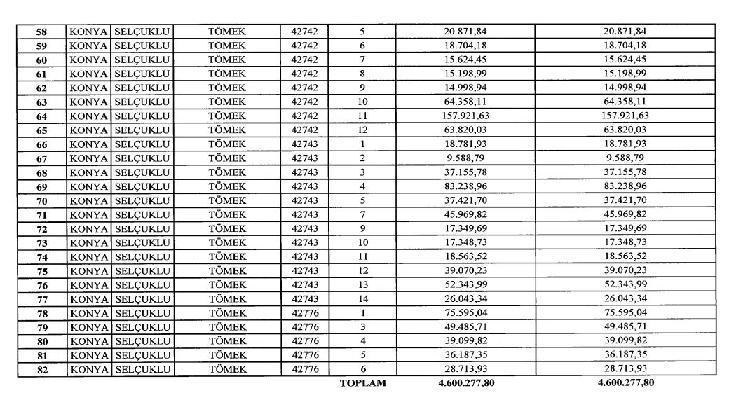
Cumhurbaşkanı Recep Tayyip Erdoğan’ın imzasıyla Konya’nın Selçuklu ve Karatay ilçelerindeki bu alanlar için acele kamulaştırma kararı verildi. Karar, Resmi Gazete’nin bugünkü sayısında yayımlandı.
Konya Haber: Selçuklu ve Karatay ilçelerindeki bu alanlar için acele kamulaştırma kararı verildi. Konuya ilişkin Cumhurbaşkanı kararları Resmi Gazete’de yayımlandı.
İşte, Cumhurbaşkanı Erdoğan’ın imzasıyla 13 Nisan 2023 tarihli ve 32162 sayılı Resmi Gazete’de kamulaştırılan alanlar:




Haber Dairesi (Konya Haber)
Kaynak:Haber Merkezi


Türkçe karakter kullanılmayan ve büyük harflerle yazılmış yorumlar onaylanmamaktadır.