Ankara Nallıhan Belediyesi personel alımı 2025
Nallıhan Belediyesi, yayınladığı ilanla kadrosuna beden işçisi alacağını duyurdu. Peki başvurular nereden, nasıl ve ne zaman yapılacak? İşte detaylar.
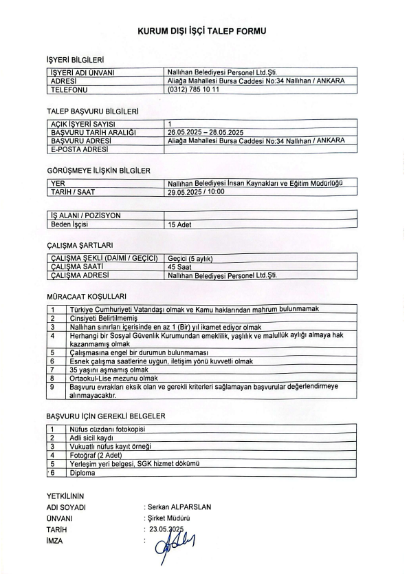
Ankara Nallıhan Belediyesi Personel Ltd. Şti. beden işçisi 15 kişi alacak.
Buna göre adaylarda aranan şartlar; Türkiye Cumhuriyeti Vatandaşı olmak ve Kamu haklarından mahrum bulunmamak, cinsiyeti Belirtilmemiş, Nallıhan sınırları içerisinde en az 1 (Bir) yıl ikamet ediyor olmak, herhangi bir Sosyal Güvenlik Kurumundan emeklilik, yaşlılık ve malullük aylığı almaya hak kazanmamış olmak, çalışmasına engel bir durumun bulunmaması, esnek çalışma saatlerine uygun, iletişim yönü kuvvetli olmak, 35 yaşını aşmamış olmak, ortaokul-lise mezunu olmak, başvuru evrakları eksik olan ve gerekli kriterleri sağlamayan başvurular değerlendirmeye alınmayacaktır.
ANKARA NALLIHAN BELEDİYESİ İŞÇİ ALIMI
Alım yapılacak kadroya başvurmak isteyen adaylar 26-28 Mayıs tarihleri arasında Aliağa Mahallesi Bursa Caddesi No:34 Nallihan/Ankara adresine yapabilecek.
NALLIHAN BELEDİYESİ İŞ BAŞVURUSU 2025
Başvuru için gerekli belgeler ve ilan detayları ise şu şekilde;

Kaynak:Haber Merkezi


Türkçe karakter kullanılmayan ve büyük harflerle yazılmış yorumlar onaylanmamaktadır.