Konya'daki okullarda şivlilik dağıtımı yarın yapılacak
Konya Büyükşehir’in 2023 şivlilik hediye kutuları yarın dağıtılacak. Toplam 200 bin öğrenci karneleriyle birlikte şivlilik de alacak. Peki dağıtım hangi okullarda yapılacak, şivlilik kutusu içinde neler var? Ayrıntılar haberimizde.
Konya’da çocukları şivlilik hediyesi heyecanı sardı. Büyükşehir Belediyesi, bu yıl şivlilik hediyelerini başvuru almadan tüm anaokulu ile ilkokul 1, 2, 3 ve 4’üncü sınıfa giden öğrencilere verecek.
CUMA GÜNÜ KARNEYLE BİRLİKTE ŞİVLİLİK DE ALACAKLAR
Şivlilik günlerinde şehirde ortaya çıkan dayanışmanın, birlik ve beraberlik ruhunun tüm dünyaya örnek olması gerektiğini söyleyen Büyükşehir Belediye Başkanı Uğur İbrahim Altay, “Büyükşehir Belediyesi olarak her yıl olduğu gibi bu yıl da çocuklarımıza şivlilik sevinci yaşatmanın heyecanını duyuyoruz. Konya’mızın 31 ilçesindeki tüm anaokulu öğrencilerimiz ile ilkokul 1. 2. 3. ve 4’üncü sınıfa giden toplam 200 bin öğrencimize karne günü şivliliklerini hediye edeceğiz. 31 ilçemizdeki tüm okullarımıza cuma günü çocuklarımıza dağıtılmak üzere hediyeleri teslim ediyoruz. Amacımız hem şivlilik geleneğini yaşatmak hem de çocuklarımızın ara tatile mutlu girmelerini sağlamak.” dedi.
Çocuklar, Konya Büyükşehir’in şivlilik hediye kutularını, yarın (20 Ocak 2023) Cuma günü, okullarında karneyle birlikte alacak.
2023 ŞİVLİLİK HEDİYE KUTUSUNDA NE VAR?
Bu yıl Konya Büyükşehir Belediyesinin şivlilik hediye kutusunda; hama boncuk oyunu, kalp tangram oyunu, snake yüzükler oyunu, yüzük sıralama oyunu ve altıgen taş eşleştirme oyunundan oluşan bilim seti; yaylı makas, oyun hamuru, sıvı yapıştırıcı ve keçeli kalemden oluşan atölye etkinlik seti; kuruyemiş, sütlü krema dolgulu çikolata, çikolata kaplamalı aromalı kek, portakal jöleli tarçınlı bisküviden oluşan gıda seti ve 48 sayfalık etkinlik kitabı yer alıyor.

KONYA BÜYÜKŞEHİR HANGİ OKULLARDA ŞİVLİLİK DAĞITACAK?
Büyükşehir Belediyesinin şivlilik hediye kutusu, Konya’nın merkez Selçuklu, Karatay ve Meram ilçelerinin yanı sıra Ahırlı, Akören, Akşehir, Altınekin, Beyşehir, Bozkır, Çeltik, Cihanbeyli, Çumra, Derbent, Derebucak, Doğanhisar, Emirgazi, Ereğli, Güneysınır, Hadim, Halkapınar, Hüyük, Ilgın, Kadınhanı, Kulu, Sarayönü, Seydişehir, Taşkent, Tuzlukçu, Yalıhüyük ve Yunak ilçelerindeki tüm anaokulu öğrencileri ile ilkokul 1, 2, 3 ve 4’üncü sınıfa giden toplam 200 bin öğrenciye verilecek.
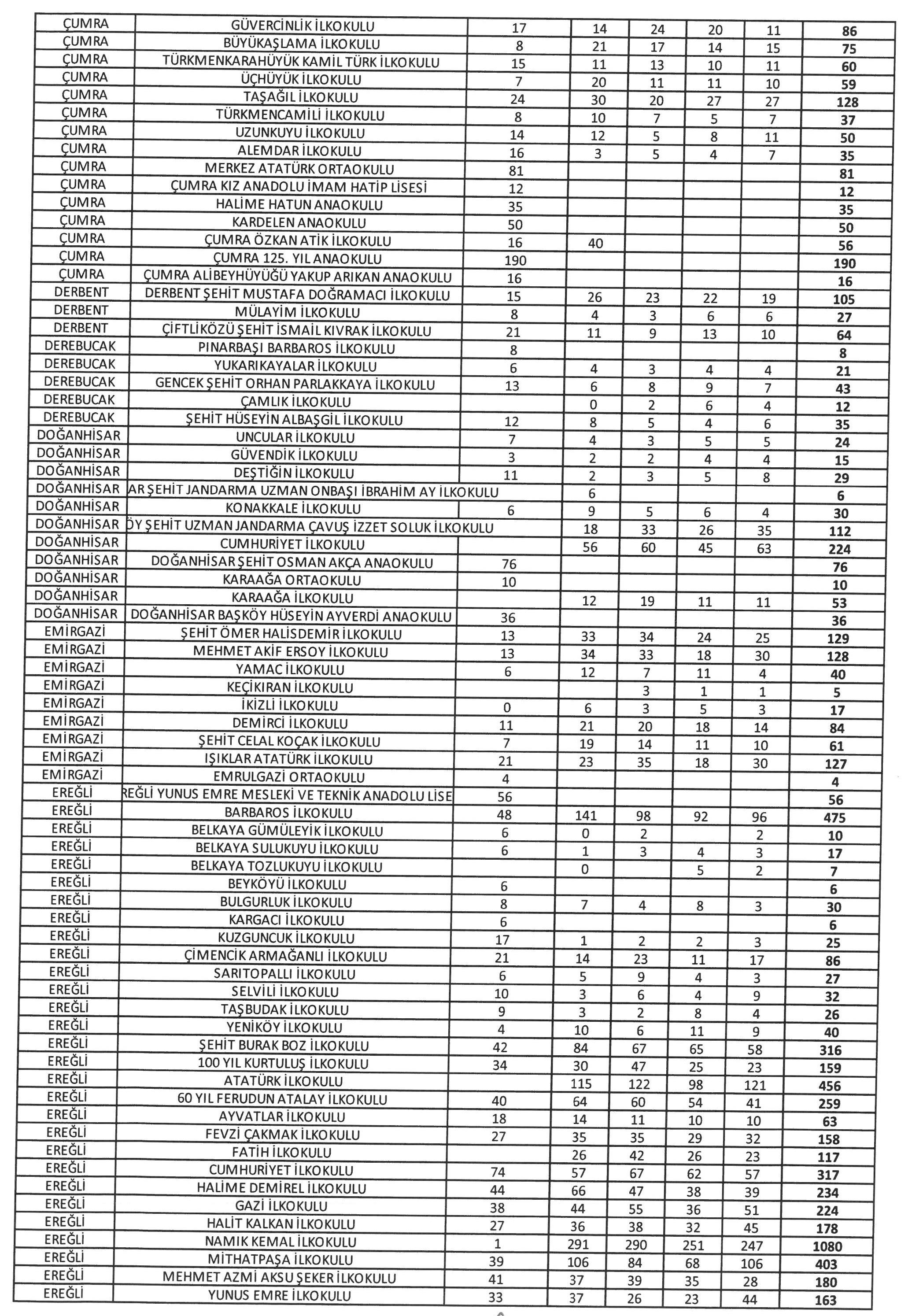
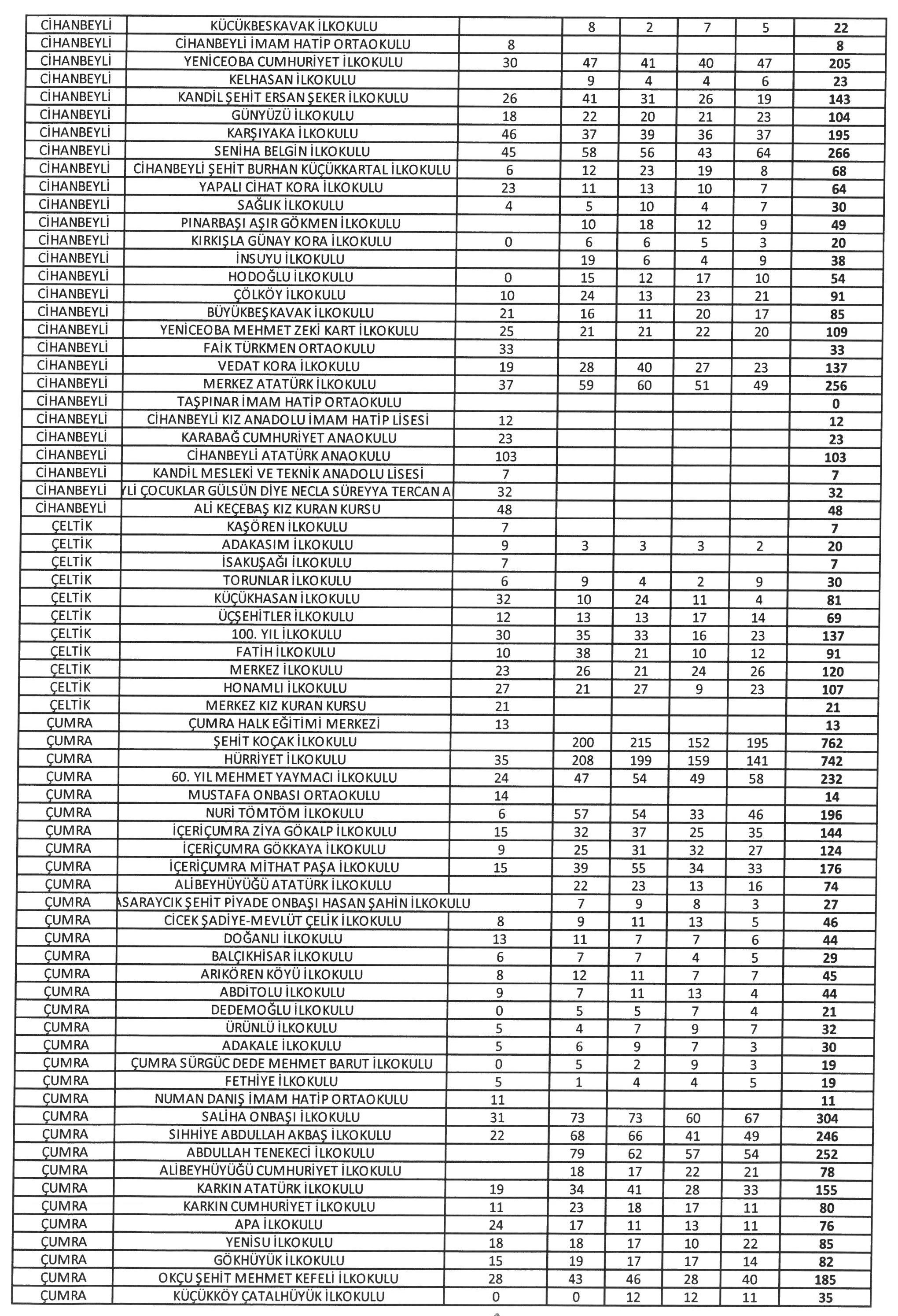
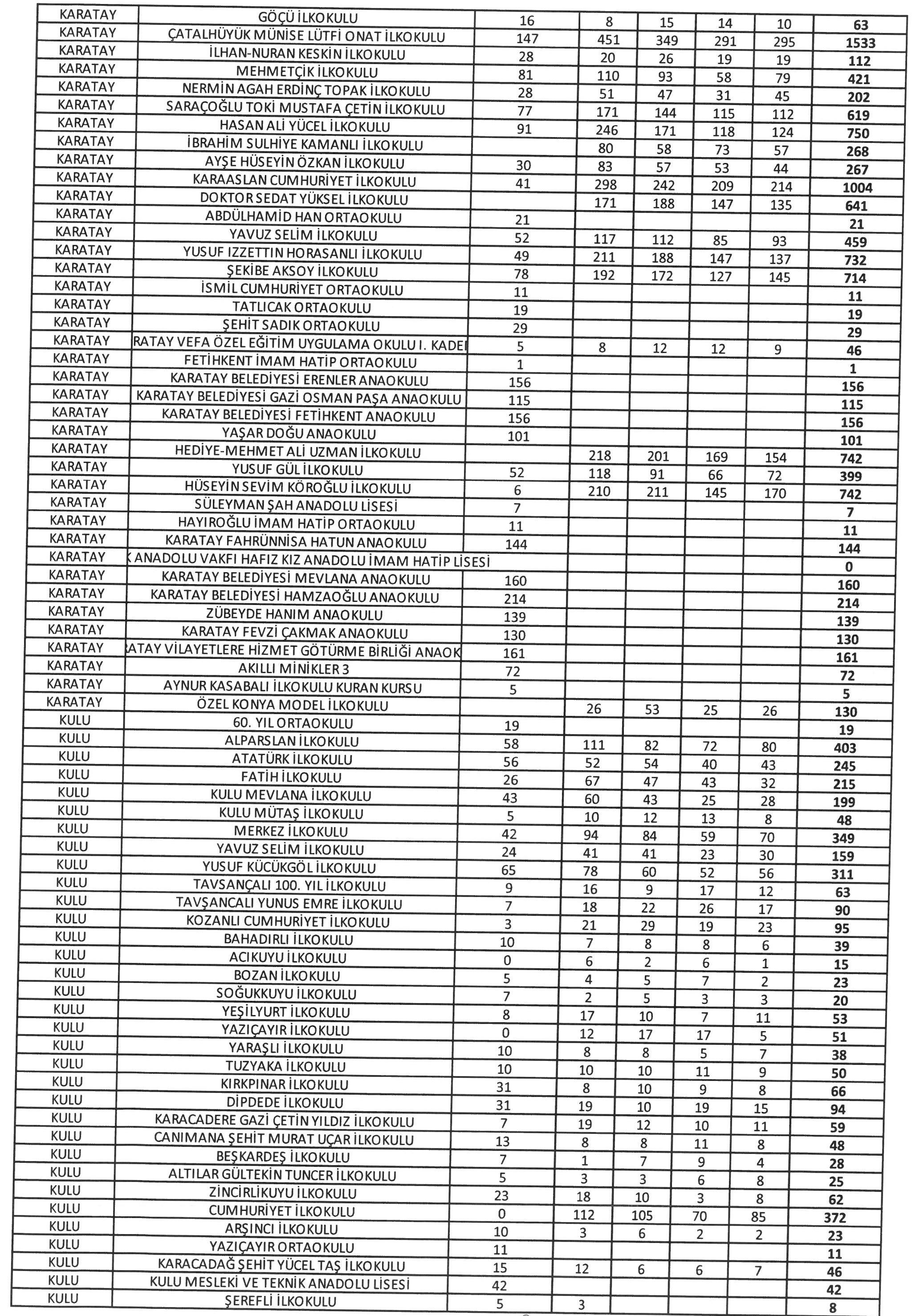
İşte Konya’da şivlilik hediyesi dağıtılacak okulların tam listesi:













Haber Dairesi (Konya Haber)
Şivlilik 2023 ne zaman, bu yıl hangi gün?
Konya’da şivlilik hediyesi hangi okullardaki öğrencilere verilecek?
Konya Büyükşehir bu yıl da şivlilik dağıtacak! Kutuda neler var?
Konya Büyükşehir bu yıl Şivlilik hediyesi verecek mi? 2023
Kaynak:Haber Merkezi




Türkçe karakter kullanılmayan ve büyük harflerle yazılmış yorumlar onaylanmamaktadır.